服务热线:
021-60766769
设为首页
|
收藏本站
|
联系我们
网站首页
企业概况
新闻动态
产品介绍
产品导航
技术文章
企业博客
售后服务
联系我们
新能源汽车教学设备
维修电工实验台
智能楼宇实训台
电梯实验室设备
机械教学模型
过程控制实训装置
热工实验设备
化工原理实验装置
环境工程实验装置
流体力学实验装置
燃气工程实验装置
化工工艺,化工工程实训装置
采暖通风实训装置
新能源教学仪器
PLC编程及自动化设备
PLC可编程实训设备
光机电一体化实训设备
传感器综合实验台
家电实验室设备
船舶工程技术实训室
微机、单片机实验设备
电工电子技能实训设备
电工模电数电电气控制
电机类实验室实训设备
电力电子技术实训装置
电力电气及自动化实训设备
电学技术实训与考核设备
电子工艺实训考核装置
高级模电数电电力拖动设备
通用型电工.电子实验室设备
工业自动化实训设备
液压气动实验台
中央空调实训设备
制冷制热实训台
煤矿安全培训设备
数控机床实训设备
机床电气技能培训及考核装置
普通机床实训设备
机械创新实训室设备
机械仿真设计试验装置
机械陈列柜
工程机械实训设备
农业机械教学设备
汽车底盘结构实训台
汽车教学示教板
拆装附翻转实训台架
汽车发动机实训台
汽车驾校实训设备
汽车空调实训台
全车仿真电路习实台
全车电器实训台
变速器及离合器实训台
汽车程控电教板
汽车实物解剖模型
汽车透明教学模型
汽车电子实验箱
财会模拟实验室设备
工程制图实验室设备
钳工.焊铆工实验台
心肺复苏模拟人
教学实验箱
主页
>
新闻动态
>
突然扩大和突然缩小阻力测定--流体力学实验装置
一、实验目的
1.观察突扩管旋涡区测管水头线,以及其它各种边界突变情况下的测管水头变化情况, 加深对局部水头损失的感性认识。
2.掌握测定管道局部水头损失系数的方法,并将突扩管的实测值与理论值比较,将突 缩管的实测值与经验值比较。
3.学习用测压管测量压强和用体积法测流量的实验技能
二、实验原理
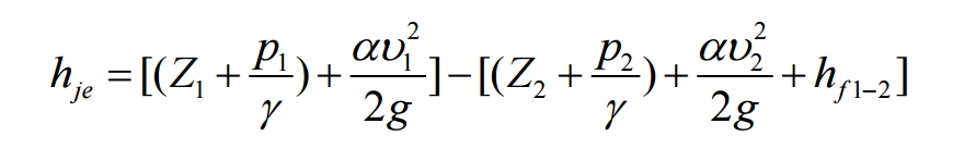
写出局部阻力前后两断面的能量方程,根据推导条件,扣除沿程水头损失可得:
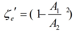
1.突然扩大采用三点法计算,下式中
由
按流长比例换算得。
实测
理论
2.突然缩小采用四点法计算,下式中B点为突缩点,
由
换算得出,
由
换算得出。
实测
经验公式,计算中的速度应取小管径中的速度值。
当
时,可简化为
三、实验装置
本实验装置如图所示。
局部阻力系数实验装置图
1.自循环供水器;2.实验台;3.可控硅无级调速器;4. 恒压水箱;5. 溢流板;6.稳水 孔板;7.突然扩大实验管段;8.测压计;9. 滑动测量尺;10. 测压管;11.突然收缩实验管 段;12.流量调节阀;
实验管道由小→大→小三种已知管径的管道组成,共设有六个测压孔,测孔1—3和2— 5分别测量突扩和突缩的局部阻力系数。其中测孔1位于突扩界面处,用以测量小管出口端压强值。
四、实验方法与步骤
1.测记实验有关常数。
2.打开电源开关,使恒压水箱充水,排除实验管道中的滞留气体。
3.打开出水阀至最大开度,待流量稳定后,测记测压管读数,同时用体积法测记流量。
4.改变出水阀开度3~4次,分别测记测压管读数及流量。
5.实验完成。
五、实验成果及要求
3.扩张段 ζe/ζe 理论=0.2216/0.2601=85.19%
收缩段 ζs/ζs 理论=0.2453/0.2994=83.27%
六、实验分析与讨论
1.结合实验成果,分析比较突扩与突缩在相应条件下的局部损失大小关系。
实验结果如下图:
时,突然扩大的水头损失比相应突然收缩的要大。在本实验中 D1/D2=0.7,突扩损失与 突缩损失应接近,即 hjs/hje=1,说明实验结果与理论推到相一致。从而我们也可得到,当 d1 d2 接近于 1 时,突扩的水流形态接近于逐渐扩大管的流动,因而阻力损失显著减小。
2.结合流动仪演示的水力现象,分析局部阻力损失机理何在?产生突扩与突缩局部阻力 损失的主要部位在哪里?怎样减小局部阻力损失?
流动演示仪 I-VII 型可显示突扩、突缩、渐扩、渐缩、分流、合流、阀道、绕流等三十 余种内、外流的流动图谱。据此对局部阻力损失的机理分析如下:
从显示的图谱可见,凡流道边界突变处,形成大小不一的旋涡区。旋涡是产生损失的主 要根源。由于水质点的无规则运动和激烈的紊动,相互摩擦,便消耗了部分水体的自储能量。另外,当这部分低能流体被主流的高能流体带走时,还须克服剪切流的速度梯度,经质点间 的动能交换,达到流速的重新组合,这也损耗了部分能量。这样就造成了局部阻力损失。
从流动仪可见,突扩段的旋涡主要发生在突扩断面以后,而且与扩大系数有关,扩大系 数越大,旋涡区也越大,损失也越大,所以产生突扩局部阻力损失的主要部位在突扩断面的后部。而突缩段的旋涡在收缩断面前后均有。突缩前仅在死角区有小旋涡,且强度较小,而 突缩的后部产生了紊动度较大的旋涡环区。可见产生突缩水头损失的主要部位是在突缩断面后。
从以上分析知。为了减小局部阻力损失,在设计变断面管道几何边界形状时应流线型化 或尽量接近流线型,以避免旋涡的形成,或使旋涡区尽可能小。如欲减小本实验管道的局部阻力,就应减小管径比以降低突扩段的旋涡区域;或把突缩进口的直角改为园角,以消除突 缩断面后的旋涡环带,可使突缩局部阻力系数减小到原来的 1/2~1/10。突然收缩实验管道, 使用年份长后,实测阻力系数减小,主要原因也在这里。
3.现备有一段长度及联接方式与调节阀(图 8.1)相同,内径与实验管道相同的直管段, 如何用两点法测量阀门的局部阻力系数? 两点法是测量局部阻力系数的简便有效办法。它只需在被测流段(如阀门)前后的 直管段长度大于(20~40)d 的断面处,各布置一个测压点便可。先测出整个被测流段上的总 水头损失
,有
所以
☆5.试说明用理论分析法和经验法建立相关物理量间函数关系式的途径。
突扩局部阻力系数公式是由理论分析法得到的。一般在具备理论分析条件时,函数式可直接由理论推演得,但有时条件不够,就要引入某些假定。如在推导突扩局部阻力系数时, 假定了“在突扩的环状面积上的动水压强按静水压强规律分布”。引入这个假定的前提是有充 分的实验依据,证明这个假定是合理的。理论推导得出的公式,还需通过实验验证其正确性。 这是先理论分析后实验验证的一个过程。
经验公式有多种建立方法,突缩的局部阻力系数经验公式是在实验取得了大量数据的基 础上,进一步作数学分析得出的。这是先实验后分析归纳的一个过程。但通常的过程应是先 理论分析(包括量纲分析等)后实验研究,最后进行分析归纳。
上一篇:
毕托管测定速实验--流体力学实验装置
下一篇:
弯头阻力实验--流体力学实验装置
上海育仰科教设备有限公司,立于上海,心怀天下
生产基地:上海松江工业园
销售中心:上海市嘉定区鹤旋路26弄22号
电话:021-60766769 传真:021-60766769 公司邮箱:yuykjsb@126.com
沪公网安备31010702001298号
教学设备|机械教学模型|楼宇实训台|维修电工实验台:上海育仰公司
All Rights Reserved
沪ICP备16023097号-1
展开
收缩
在线客服
在线客服
在线客服
在线客服
在线客服
电话:021-60766769