纯电动汽车能量回收利用策略设计
1 引言
针对国内外纯电动力汽车制动时能量损失,设计出一款纯电动汽车制动能量回收利用的装置,这不仅适于社会的发展趋势,还利用了汽车新能源技术,对于推动汽车产业的发展,改善经济的发展,降低环境污染和改善环境。本次设计的纯电动汽车制动能量回收和利用装置是一种能够在车辆减速制动时,依靠车辆向前行驶的惯性力带动电动机,轮胎与地面产生互相作用力,再把动力传给电机,此时电机充当发电机角色,电机转子切割磁感线产生电能和一定的反力矩,从而降低车速和把动能转化成电能回馈给蓄电池充电,实现能量回收的目的,并且增强电动汽车能量的循环利用效率和续航能力。
2 能量回收利用装置的工作原理
电动机是纯电动汽车的核心,即做为驱动装置的牵引电机,也作为发电机发电。电动汽车在制动过程中,将一部分动能通过传动机构反向传给电机,此时电机充当发电机角色处于发电状态并向蓄电池充电;电机在发电的同时产生的磁场阻力反作用于车轮,从而达到使汽车降速的目的。如图1 所示,为制动能量转换流程基本原理图。
当需要电机再生制动时,电控单元控制电机充当发电机的角色,并且处于发电状态,回收动能并且给蓄电池补充充电,反之,当驱动车辆时,电机充当驱动电机的状态,蓄电池给其供电驱动车辆。由于存在有液压制动系统,液压制动系统制动过程中各种模式下会出现压力波动,特别是在紧急制动过程中产生的波动会导致制动车轮发生抱死,引发安全事故,所以需要通过ABS 调节来消除波动。

图1 制动能量转换流程基本原理图
3 制动能量回收的策略
汽车的制动力分配是否得当,会对整车安全性和稳定性、制动能量回收效率和驾驶舒适性等影响,所以要综合各方面的因素进行分配。因此,我们要把制动力分配调节至最好状态下,才能更好的获得最佳控制策略。
汽车速度和制动减速度影响着纯电动汽车的制动力分配,如图2 所示,电动汽车制动能量回收控制策略的核心是在确保制动性能和安全性能要求的条件下,要保证最大限度回收能量,那么就要调配和控制好回馈制动力与摩擦制动力之间的平衡。

图2 制动力分配示意图
3.1 在串联式制动系统
根据车速和制动踏板信号,电机和电池的状态首先判断电机的制动力大小,并对电机制动力和机械制动力进行按照驾驶员的需求分配。串联式制动力控制策略的设计是根据理想状态时的制动力分配曲线的前提下进行的,它又分为最佳制动性能控制策略和最佳制动能量回收率的控制策略两种情况。
3.1.1 最佳制动性能控制策略
该策略也叫做理想制动力控制策略,它是指按照理想状态分配制动力曲线,对前轮和后轮的制动力进行合理分配的策略。这样可以在保证车辆的刹车稳定性和效能达到最佳状态下利用地面附着系数,但是这样又限定了使驱动轮上的制动力最大值,从而限制了制动能量的回收。
3.1.2 最佳制动能量回收率控制策略
该策略是指在电动汽车刹车减速度和保证前、后轮在不抱死的情况下,实现能量回收率的最大限度(如图3 所示)。本设计的控制策略不会改变原来制动系统的自由行程,而且能够满足国家标准的要求。

图3 最佳制动能量回收率制动力分配示意图
在这种制动策略中,制动踏板开度越大,对应制动减速度就越大,其制动力变化过程分为四个阶段,如:
(1)OA 段,没有踩制动踏板,没有制动力产生;
(2)AB 段,仅有电机产生制动力,前后轮机械制动不工作;
(3)BC 段,随着制动力增大,电机制动力达到最大值,前轮机械制动力逐渐增大,后轮机械制动力则按正常提供;
(4)CD 段,属于紧急制动情况,需要迅速且很大的制动力,此时完全由机械制动来控制制动。
当减速度不超过0.2g,这个过程需要的全部制动力都是电机供给的,即上图中的B点处。当减速度在0.2g 至 0.7g 范围内,是按照设定好的曲线参数进行分配制动力给车辆的前轮和后轮的,而由机电共同产生的力即车辆总制动力。当减速度超过0.7g,该情况属于紧急刹车情况,此时需要迅速而且很大的力矩,全部制动力仅由机械制动来提供并完成制动任务,即在图中的CD 段。
3.2 并联制动
并联式再生制动系统是指在一般情况下,当纯电动汽车处于电机制动时,电机制动力不足或者要达到驾驶员的意图信号时,控制介入传统汽车制动系统,从而机电并联完成制动任务。如下图4 所示。其控制原理:驱动电机在不超出前轮的制动力度限定值的条件下,按照踏板的相关信号情况对车轮调整输出制动力;若是行车过程电机制动失效,汽车依旧可以用机械制动来完成制动任务,保证安全。这种制动策略的制动能量回收率虽然比较低,但是制动力分配的关联以及结构比较简单,成本相对较低,工程上易于实现。
为了回收更多的制动能量和优化驾驶员感受,在保证电动汽车制动安全和制动操作稳定性的基础上,该控制策略通过电子单元分析和判断出最合理的制动力,分配调节再生制动力和前、后轮机械摩擦力和控制车轮制动力与电机的制动能量回收制动扭矩的关系来完成目标。因此,该策略需要更多的控制专业理论知识为基础,还要结合实际试验论证,如台架实验和实车实验等。

图4 并联能量回馈制动方式
4 制动能量回收率
4.1 可回收率
在制动过程中,除了要克服各种复杂的阻力和传动机构传递部分能量损失以外,回收到蓄电池的能量所占整个制动过程中的总能量的比值成为可回收率。那么,整车动能变化Ed 中半轴回收能量Ef 所占的百分比就是可回收率ηQ。

式中:T 为电机的扭矩,m 为整车的质量,N 为电机的转速,V2 为制动过程的初速度,V1 为制动过程的末速度。
4.2 转化率
在车辆制动的过程中,通过从车轮传递给半轴的机械动能,经传动变速机构与发电机产生电能的效率称为转化率。而蓄电池的充电能量高低则可反应出能量转化的效果,则有半轴所回收能量Et 中蓄电池充电电能Er所占的百分比就是转化率ηt。式中:

U 为充电电压,I 为充电电流。
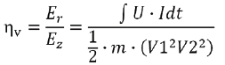
4.3 回收率
一般的,我们通常使用储能装置的相关参数来反映出能量的多少,而制动能量回收利用装置通过电机把的能量转化后给蓄电池充电的效率称为转化率。该装置的回收率存在以下关系:
在电动车整车动能变化量Ez 中蓄电池充电能量Er 所占的百分比就是其回收率ηv。
5 结语
制动能量回收问题对于提高电动汽车的能量利用率和增加续航里程具有重要意义。从相关研究可知,在都市路况运行时,繁琐的刹车与起步,有效地回收的制动能量可增加10% ~ 30%,随着技术的完善和成熟,回收率会越来越高。